기본수학 라플라스 변환

문제 예제.

객관식 • 조회수 1881 • 댓글 1 • 작성 3년 전 • 수정 1년 전  
  • 라플라스 변환

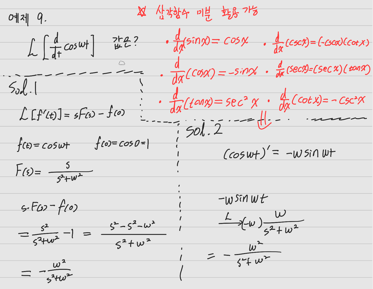
L[ddtcosωt]\mathcal{L} \left[ \dfrac{d}{dt} \cos \omega t \right]의 값은?

무료 구독을 통하여 정답과 해설을 확인하세요.
1

ω2s2+ω2\dfrac{-\omega^2}{s^2+\omega^2}

2

ω2s2+ω2\dfrac{\omega^2}{s^2+\omega^2}

3

s2s2+ω2\dfrac{s^2}{s^2+\omega^2}

4

s2s2+ω2\dfrac{-s^2}{s^2+\omega^2}

이전 글
다음 글